
◆◆◆ 零 ◆◆◆
《庄子·在宥》中说了一则关于鸿蒙的故事:
云要去东方游历,经过扶摇神树枝旁时遇到鸿蒙。云就向鸿蒙请教养护生灵的问题。鸿蒙跳着脚甩着头说“吾弗知”,意思就是说,我啥也不知道!
鸿蒙曰:“浮游不知所求,猖狂不知所往,游者鞅掌,以观无妄。朕又何知!”这意思说是:说:“悠悠荡荡,不知道求取什么。散散漫漫,不知道去往哪里。身处纷纷扰扰之中,去体察宇宙的本真,我又能知道什么呀!
天地之大,鸿蒙之微,谁也不敢说真的明白了……

◆◆◆ 壹 ◆◆◆
“无穷大”作为一种浪漫的想象是有意思的,“无穷大”作为一个科学的数字是不存在的。我们设置一个简单的数学计算题:
0.333...(无穷个3)×3=1
从逻辑推理角度,这题是对的:“0.333...”是指“3后面总是有且仅有3,直至无穷个3”。
换成用分式来表述更简单,就是1/3(三分之一)。一的三分之一乘以三,可以列式为1÷3×3,答案就是等于1。没毛病。
但是,引入“无穷大”的数学概念后,1÷3(即1/3,三分之一)的答案仍然是0.333...(即0加小数点之后无穷个3),但是“1÷3×3”,就不能粗略、大概、莫约等于1了,而是精准地成为:
0.333...(无穷个3)×3=0.9999...(无穷个9)
0.9999...(无穷个9)虽然无线接近1,却不等于1
0.9999...(无穷个9)+0.0000...1(无穷个0后加1)=1
可见,在“无穷大”的数学概念下,同样的数字,先乘后除和先除后乘,其实是不一致的:
1乘以3,等于3;再除以3,等于1;
1除以3,等于0.333...(无穷个3);再乘以3,等于0.9999...(无穷个9)。无限接近于1,但是和1相比,终归还是少了0.0000...1(无穷个0后加1)
当然,还有一种更简洁的、一把就逼死无穷大的归谬法认证方式:
鉴于数学法则设定“无穷大”是终极最大,所以无穷大加上任何数字的结果,依然且只能依然是无穷大。数字无穷大的符号叫“∞”,∞加让任何数字,仍是∞。则:
∞+1=∞,∞+2=∞,所以,1=2;
∞+1=∞,∞+任何数字=∞。所以,1=任何数字。
数学规律,就是这么不靠谱。
◆◆◆ 贰 ◆◆◆
无穷运算在一般数学体系里的不合理,实在无法自圆其说。于是可怜的人类数学家,要定义出合乎无矛盾性的无穷运算,就引入了另一套更加不能自圆其说的体系,即“超实数”理论。
“超实数”由美国数理逻辑学家A.鲁宾逊于1960年创立。鲁宾逊证明,实数结构R可扩张为包含无穷小数和无穷大数的结构R*。在一定意义下R与R*有相同的性质。称R*中的数为超实数。形象地说,就是在普通实数中又加进了无穷小数(其绝对值小于任何实数)及无穷大数(其绝对值大于任何实数)。
更多复杂的陈述,很绕很烧脑,逸庐懒得碎碎念。总之,超实数可以进行四则运算,满足通常的运算规律,也可以有大小顺序。由此标准分析里的许多概念、定理等可以自然地扩张到非标准分析中。
翻译成人话就是:数学中不是只有一种无穷大,而是有很多很多不同种类的无穷大,其中一些无穷大更大。所以一个无穷大加或乘一些合适的有限数会得到比无穷大更大的无穷大。就这么反复无穷大套娃……
鲁宾孙论证了无穷小的存在性,开创了非标准分析。接着W·卢森堡用超幂方法构造了非标准模型,以后又构造了多饱和模型。
此后,“超实数”理论和非标准分析发展很快,且应用到了点集、拓扑学、测度论、函数空间、概率论、微分方程、代数数论、流体力学、量子力学、理论物理和数理经济等许多地方。
上帝在数学规律中设了很多BUG,把人类绕糊涂了;人类用“超实数”理论,把上帝也给绕糊涂了。
◆◆◆ 叁 ◆◆◆
把数学规律中的∞现象,放到宇宙数学的法则中:就可以简单推算出物质世界的宇宙是虚无归零不存在的:
正无穷大是+∞,负无穷大是-∞。 无穷小似乎并没有一个专门符号,一般记作“lim”。
当然,无穷小比无穷大好理解,就是无限接近“0”。甚至在“无穷小”的概念里,也包含着“无穷大”的定义,“无穷小”其实也可以理解为“无穷大的小”。
把整个“无穷大”的物质世界宇宙,进行“无穷大”次的分解,最终所分解的每一份物质终究会达到“无穷小”,无穷大份数的每一份物质,都是“无穷小”,无限接近于0。
那么,“1”份宇宙,分解成“无穷大”份的每一份,每一份都是“无穷小”,无限趋近于“0”,那么,此时逆推,“无穷大”份数的所有无限趋近0的“无穷小”,全部叠加起来,还是无限趋近0。宇宙的总和趋近为零,宇宙不存在。
宏观宇宙,就是这样不靠谱。
◆◆◆ 肆 ◆◆◆
宇宙的总和趋近为零,也就是无限接近一个不存在的“奇点”。这就是宇宙起源的学说:宇宙是“无中生有”,从一个物质、时间和空间都趋近零的奇点,通过所谓大爆炸膨胀出来的。
弗里德曼根据广义相对论,共计算出三类膨胀宇宙模型。不管哪一类膨胀宇宙模型,在开始时,星系之间的距离为零,物质、时间和空间都卷曲成一个没有大小的点。
在数学上,这样的点就叫做“奇点”。在宇宙中,这样的点被称为“宇宙奇点”。
从牛顿、爱因斯坦到杨振宁,从半懂不懂的道长、似懂非懂的逸庐到不懂装懂的民科,都诚心诚意地认为宇宙有个造物主。
1932年,爱因斯坦与德西特放弃“静态宇宙模型”而联手建立了没有宇宙常数的新的宇宙模型,史称“爱因斯坦一德西特模型”。
1948年,乔治·伽莫夫发表《大爆炸宇宙论》文章,认为宇宙起源于一次大爆炸,并作出了一个惊人的预言:宇宙的热的早期辐射(以光的形式)今天还应在周围存在,但其温度已被降低到5k。
伽莫夫的《大爆炸宇宙论》主要从大爆炸1秒钟讨论起的。他无法说清楚是什么力量使宇宙发生大爆炸的?更无法说明白宇宙的第一推动力是哪儿来的。
1965年,彭罗斯从理论上证明了乔治·伽莫夫的理论预言:提出老年恒星在自己的引力作用下“坍缩”,其表面积最后会缩小到零。这样,其体积为零,其物质密度、时空曲率无限大。这正是奇点现象。彭罗斯指出,任何坍缩必须终结于一个奇点。他的理论被称为“彭罗斯定理”。
霍金进一步研究指出,彭罗斯定理适合于整个宇宙。宇宙在引力作用下,最后也会坍缩为一个奇点。如果将时间反演,宇宙则是从奇点开始的。
从广义相对论的理论看,当时空等于零时,宇宙是神奇的奇点:奇点处,宇宙体积为零,物质密度无穷大、奇点温度无穷大、时空曲率无穷大。这个现象是现代物理定律无法解释的。
与数学规律不能处理无穷大数的奇点一样,广义相对论也不能处理宇宙奇点。
但是老子的《道德经》,倒是都把宇宙奇点和宇宙的起源解释的明明白白:《道德经》第四十二章说:
道生一,一生二,二生三,三生万物。
◆◆◆ 伍 ◆◆◆
事实上,宇宙万物分解到极致,就是质量趋向为零的“普朗克点”。
普朗克辐射定律,是公认的物体间热力传导基本法则,认为单位面积单位时间辐射功率和温度的四次方成正比,比值是5.67×10-8 W·m^-2 ·K^-4。
1900年12月14日,普朗克得出了辐射定律的理论推论,提出了能量量子化的假说。能量量子化假说引入了一个重要的物理常数h:普朗克常数,能量只能以不可分的能量元素(即量子)的形式向外辐射。基于此假说,普朗克给出了黑体辐射的普朗克公式,圆满地解释了实验现象。
能量量子化,这个与经典物理学相悖的假说,揭开旧量子论与量子力学的序幕,被作为是量子物理学诞生的标志,因此12月14日成为了量子日,以作纪念。普朗克也因此获得1918年诺贝尔物理学奖,被视为近代物理学的开拓者之一。
根据普朗克提出的量子学理论,普朗克长度由引力常数、光速和普朗克常数的相对数值决定,是物理学意义上最小的距离单位,在这一距离单位下,重力和时空不复存在,量子效应占据支配地位。
在量子力学中,物质细分的极限是基本粒子。夸克、电子、光子等基本粒子被视为无体积、无内部结构的零维点状粒子,夸克和质子以及中子之间都是没有粒子可以分辨的。夸克是构建物质的最小的粒子,物质细分至此已达尽头。
在超弦理论中,基本粒子也并非终极构成,仍可进一步细分。直到物质的最小尺度,称为弦,弦的长度就是约等于普朗克长度。
普朗克长度是现实世界的基本像素,现实世界的任何变化都以普朗克尺度的整数倍为基础演化而来。
◆◆◆ 陆 ◆◆◆
宏观宇宙学给予光速三个基本设定:光速是宇宙最高速度;光速不变;光速是丈量宇宙空间和时间的尺度标准。
以宇宙最高速度光速的不变速度,能测算到的物质世界宇宙的最小可测量单位,是普朗克长度,普朗克长度比质子小10^22倍。普朗克长度是光速测量的极限,比普朗克长度还小的单位是没有意义的,在现有物理宇宙中,无法超光速,也就永远也不可能发现它。
普朗克长度=1.6x10^-35米
以宇宙最高速度光速的不变速度,能测算到的宇宙物理时间的最小可测时单位,叫普朗克时间,普朗克时间是光速测时的极限,比普朗克时间还小的单位是没有意义的,在现有物理宇宙中,无法超光速,也就永远也不可能发现它。
普朗克时间(5.39×10^-44秒)
在这个宇宙里,碍于空间测算工具光速的极限,不可能发现小于普朗克长度的物质,也不可能知道小于普朗克时间(5.39×10^-44秒)内发生的事情。这是被宇宙本身基础物理规律锁定的,人类技术永远无法做到。
越靠近宏观物质世界,德布罗伊波长越长,物质越呈现确定性,粒子性;
越接近微观量子世界,德布罗伊波长越短,物质越接近概率波,波动性。
到普朗克尺度,时间空间都无法连续存在,只有一个碎片化的,相互割裂的,概率性的,拥有极大数量可能性的宇宙。在这个宇宙,不存在时空,不存在质量,不存在物质,只有能量的波动和湮灭,力和场的的相互作用。
在普朗克尺度下,物质只是一种虚无能量的表现。宏观的平行时空就变得非常可能。
◆◆◆ 柒 ◆◆◆
◆◆◆ 捌 ◆◆◆
对于人类来说,生命虽然确知死亡存在,但却永远无法洞晓死亡之后。未被观测的世界就像死亡之后的世界,我们可以猜测它是什么样子的,但是却永远无法真正见到。
宇宙造物主禁止人类肆意探究世界的物质底层法则。生命之奥不容窥探,宇宙之秘同样不容洞察。
这是一道无法逾越的认知屏障,一种超越客观世界规则的超级屏障,这个屏障似乎是一种法则式的存在,我们甚至无法知道它的存在基础是什么。
在逸庐看来,到了宇宙本原的领域,物理学,天文学,数学,哲学,神学,其实没什么大的区别。都是心游无极,穷思冥想,最终屈膝于造物主的绝对力量。
薛定谔提出了三条著名的定律,成功地把物理学整得什么也看不确定、想不明白、说不清楚。
薛定谔第一定律:物理量的取值只能是某些特定值中的一个。意思是,在某一个具体时刻,一个微观粒子的某个物理量只能取一定的值。比如,电子的自旋只能取+1/2或-1/2这两个值,而不能取其他的值。
薛定谔第二定律:物理量的变化是连续的。意思是,在微观粒子的运动中,物理量的变化是连续的,而非突变的。这意味着,微观粒子的状态在任意时刻都是平稳的,不会出现跃迁或非连续的变化。这个定律可以看做是量子力学对于描述微观粒子运动方式的基本规则。
薛定谔第三定律:物理量的不确定性原理。意思是,在同一时刻,一个粒子的多个物理量的测量结果是互相影响的,因此我们不能同时准确地知道它们的值。例如,如果我们测量一个电子的位置和速度,那么我们在某一个时刻只能知道一个粗略的位置或一个粗略的速度,不能同时知道它们的具体数值。
薛定谔三大定律揭示微观粒子运动的本质、规律和特异性,是量子力学中的基本规则,对量子力学的建立做出了重要贡献。其后,各种颠覆世界观的定律纷纷问世,步步惊心:
玻恩的“玻恩规则”定律,描述了人们的观测行为是如何导致彼岸世界自然演化的波函数的坍缩,再反馈并形成我们的现实世界的过程。原来我们所感知的现实世界,只是世界的表象,而未知的彼岸,才是世界的本质。我们其实生活在一个虚幻的“真实”中。
冯·诺依曼的“投影公设”定律,阐述了观测导致波函数突变的现象,原来我们不仅生活在“假象”之中,而且这种假象演化的基础竟然还是我们自身所造成或者推动的,我们其实生活在一个我们自己制造的“梦境”里!
贝尔不等式系列验证实验证明:在彼岸世界里,物质是可以跨域存在的,空间并不真实;
HOM实验证明:在彼岸世界里的物质单元具有全同性,物质的存在形式与常识认知完全不同;
“维格纳的朋友”实验证明,不同观测者看到的彼岸景象是不同的,客观事物不具有唯一性;
“虚数必要”实验证明,在彼岸世界里必须使用超越现实意义的数学表述,彼岸世界里存在着更高的数学维度。
几乎每一个新的量子实验都会将现实宇宙的图景描绘的更加匪夷所思。这些实验所揭示出的事实不仅令我们常规的认知被彻底颠覆,就连很多非常严谨的哲学逻辑都不再成立。
自从接触多了宇宙哲学、天体物理和量子力学,逸庐不能自拔地开始怀疑世界、怀疑人生、怀疑自己是圣人还是病人。
对于深藏宇宙深处的造物主来说,假象也是真实的,真实也是假象的。
我们也许是生活在某个虚拟世界里,一切都是假象而已,但是对于我们来说,这就是真实的世界。要交物业费、要洗脏袜子、要吼孩子做寒假作业、要哄老父亲聊前朝往事、要掐着点给散落在天涯的她们发新春祝福……
◆◆◆ 玖 ◆◆◆
光速是宇宙最大的囚笼。无穷大的宇宙尺度,仅仅299,792,458 米/秒的限速,形成了全宇宙最大的悲情。繁星满天,人类永远无法达到所见的任何星系。
造物主很幽默:即让我们仰望星空,却又把所有的文明隔离成孤岛。
◆◆◆ 拾 ◆◆◆
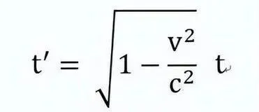
造物主颁布的空间规则,速度改变时间,这是更为诡异的所在。
相对论告诉我们,时间膨胀是一种相对现象。对于不同速度运动的观察者来说,他们感受到的时间流逝速度是不同的。例如,在地球上静止的人会看到一艘接近光速飞行的飞船上的时间变慢,而飞船上的宇航员却感觉自己的时间流逝速度是正常的。
在狭义相对论中,光速被设定为速度的极限,任何有质量的物体都不可能达到或超越这个速度。这一极限不仅限制了物体的运动速度,也对时间膨胀的概念设定了边界。当速度接近光速时,时间膨胀接近无穷大,但从未真正达到无穷或负无穷,从而避免了时间倒流的物理可能性。
相对论时间膨胀效应公式为:

当速度达到光速的0.5倍时,时间膨胀效应为慢1.15倍;
当速度达到光速的0.9倍时,时间膨胀效应为慢2.29倍;
当速度达到光速的0.99倍时,时间膨胀效应为慢7倍;
当速度达到光速的0.9999倍时,时间膨胀效应为慢70倍;
当速度达到光速的0.99999999999999时,时间膨胀效应为慢707万倍。
光速和地球时间的差距,大致如下:0.9999 倍的光速,时差约为99.99倍左右。也就是说,以0.9999 倍的光速,在宇宙中航行一年,地球时间已掠过沧桑百年。
如果你以接近光速的飞船去旅行,当速度达到光速的0.99999999999999时,也许你的宇宙航行时间只过去一年,但当你返回地球时,却发现年轮飞转,地球已过707万年。
光速改变了时间,就改变了历史,也改变了未来。
物理意义上,时间不是一个绝对统一的量,而是依赖于观察者的相对速度。速度越大,时间越慢。当速度达到光速时,时间停止;而如果速度超过光速,时间将变为虚数,意味着可能出现时间倒流的奇异现象。
爱因斯坦的相对论明确指出,任何有质量的物体都不可能达到或超过光速,因为随着速度的接近光速,其所需要的能量呈指数增长,其动质量会趋于无限大,这在物理上是不可能的。
在现实中,没有任何能源能够提供这样的无限能量,因此光速旅行和时间倒流只是一种数学上的可能性,而在现实世界中,还没有观察到这种现象,更无法证实有这种可能。
◆◆◆ 拾壹 ◆◆◆
从你飞离蓝星,进入星际的那一瞬间开始,你与故土之间,隔着的不仅是远行的遥远相望,更是回程的繁华落尽、沧海桑田。
启程就是茫茫孤独,返程更加浩浩孤独。思念的名字烟消云散,记忆的环境似水无痕,熟悉的文明已成遗址。甚至找不到曾经存在的痕迹和证据。
哈勃望远镜曾捕捉太空。人类,正透过牢笼的缝隙,面对巨大空间的鸿沟,凝视着远处浩渺孤独的星河。仅仅在不到满月十分之一的区域中,有265,000个星系,其中的每一个星系,有的如银河系一般大小,有的比银河系更大百倍千倍。
相信宇宙中有无数如同银河系的地方,绽放过无数如同地球文明的璀璨,所有的文明,默默地在各自的恒星系里诞生、发展、最终消亡。彼此能看见漫天星光闪烁,却永世不得相逢。
所有的文明,都被宇宙法则流放在孤岛之上。所有的文明,都被困在这广袤宇宙空间里,困在光速限制和时间膨胀的枷锁里,感受着深入骨髓的孤独。
◆◆◆ 拾贰 ◆◆◆
绝对零度是指0开尔文,也就是-273.15℃。为什么宇宙的极限温度是-273.15℃这个有整有零的数字?这个问题本质上是哲学性的,正如光速和普朗克长度,这是我们宇宙的基本法则。
绝对零度在物理学上说不出什么道理,一定要问为什么是这个数,只能说造物主定的,造物主乐意,造物主就这么愉快滴决定了。
光速不变和绝对零度,这是宇宙的两大底层密码。光速限制问题,我们尚且可以做梦,期待整出虫洞穿梭、曲率飞船之类的荒诞奇招,也许会有突破的一天。
绝对零度问题,却让人连科幻的思路都不敢去想、编不出来、没路可走。因为,绝对零度之所以成为“绝对”,不是因为是寒冷温度的极限,而是原子振动彻底停止的终点,这就构成了宇宙运行的根本限制。
现代物理学说,时间的流逝需要运动变化作为参照。没有运动变化,就没有时间。在物理层面,温度反应的是原子振动的快慢。在绝对零度下,所有原子的运动都将停止。一个没有变化的世界凝固,时间的概念就此消失。不会再有反应发生,不再有能量流动,连时间都已失去意义。
量子力学的诸多原理中,有个特别有意思的海森堡不确定性原理:无法同时确定一个粒子的位置和动量。如果粒子完全静止,意味着它的位置和动量都变得确定,这直接违反了量子法则。
所以,只要宇宙存在,就不可能有绝对零度。出现绝对零度,就意味着绝对静止。绝对静止,就是热寂,就是宇宙的终极死亡终点。
热寂是一个关于“气候变化”的问题上:简单的说就是宇宙的“热死亡”。“宇宙热寂”假说。它的核心思想很简单:物理系统总是会趋于平衡。比如,热量总是从温度较高的物体自发转移到温度较低的相邻物体;随着热量的交换,前者被冷却,后者被加热,当二者达到相同的温度后,热量交换就会终止。
而在热力学中,这种现象即是我们十分熟悉的“热力学第二定律”,系统的无序性由熵来度量,随着时间的流逝,熵会不断增加,这也意味着系统的有序结构在逐渐消失。最终,系统会演化到一个完全无序且毫无特征的平衡态:熵最大的状态。
那么,将宇宙看成一个系统,宇宙最终将演化到一个毫无变化与生机的死寂状态。这是一个很残忍但是却很有道理的推论。这就是“热寂”。
◆◆◆ 拾叁 ◆◆◆
真实的宇宙里,科学家已经发现布莫让星云的温度低至约1开尔文,仅比绝对零度高出约1度。这是科学探查到接近绝对零度的极限自然区域。
在实验室里,人类已创造出比布莫让星云更冷的温度。2025年,北京大学的研究团队,实现了0.1毫开尔文(-273.1499999℃)的极低温度。
可是-273.1499999℃和绝对零度-273.15℃之间,相隔也不是一步之遥,依然是整个宇宙。
文明的力量,可能永远也无法抵达“-273.15℃”这个绝对数据。再往前一步,触碰的不再是科学,而是物理学终极禁区。
在现代物理学中,时空与物质互相关联:物质是空间的内容,空间是物质的容器,而时间则是它们变化的标志。绝对零度不仅意味着粒子停止运动,更可能意味着时空本身的消失,宇宙的消失。
在现代物理学中,时空与意识互相关联:接近绝对零度时,生命进程就会停止,意识也会随之冻结。可以把它称为永生,但生命却已变成没有体验的存在。存在需要变化,生命需要过程,绝对的静止之时,一切也就失去了意义。
绝对零度,不仅仅是限制,也是创世的条件本身。当最后一颗恒星熄灭,最后一个黑洞蒸发,宇宙将无限接近绝对零度。只有永恒、绝对、无边无际的黑暗和寂静。
一切都结束了。
到那时,造物主在哪儿?
